Werner Herrmann, Johanna Bonilla; TÜV Rheinland Energy GmbH, Germany
Ruben Roldan Molinero; Scuola Universitaria Professionale della Svizzera Italiana (SUPSI) Switzerland
The nominal power of PV modules, as stated by manufacturers on the name plate, is commonly referred to the so-called Standard Test Conditions (short: STC). This STC power relates to conditions, in which the PV module is exposed to an effective irradiance of 1,000 W/m², is tempered to 25 °C, and the spectral irradiance of the incident light corresponds the AM1.5 reference solar spectrum, as defined in IEC 60904-3. The STC power value is a punctual value and can be interpreted as the output power of a PV module at full load.
However, the real operating conditions of PV modules in the field clearly differ from those of the STC, and influencing factors which are not considered by the STC measurement become noticeable. For mono-facial PV modules Figure 1 illustrates the energy yield behavior as an interaction between its optical and electrical properties with the climatic conditions at the site.

Figure 1: Influencing factors for the energy yield of mono-facial PV modules
There are two possibilities for assessing the energy yield behavior of PV modules in a specific climate:
Simulation of the expected annual energy yield: For this purpose commercially available computer software can be used. The international series of standards IEC 61853, which describe a harmonized calculation method for the energy rating of PV modules, has been available since 2018. It is common for all of these tools that they require information on the electrical and optical properties of the PV module type and a climate data set for the test site. Software tools typically have access to meteorological databases, whereas the IEC 61853 defines meteorological data for six reference climates (hourly averages). Uncertainties in the expected energy yield arise from climate variations, the impact of local microclimates and the availability of PV module data.
Measurement of the specific energy yield: The main focus of the PV module energy yield measurement is to compare the energy yield performance of various PV module types in a specific climate. Only measurements under real operating conditions can address the uncertainties arising from inadequate or missing PV module or climate data. The PV modules are installed at a test rack and exposed to natural weathering for a period of one year to consider the range of seasonal effects. Test samples are typically operated in maximum power mode (MPP tracking) and the power values are recoded together with the device temperatures and the weather data. The specific energy yield is the sum of the electrical power values in the considered period.
The energy yield performance of PV modules is commonly described by the Module Performance Ratio (short: MPR). MPR is a normalized parameter, which is independent of received irradiance (module orientation). It allows comparing PV modules measured at different sites, with different orientations or in different periods. It is calculated according to the formula:

MPR=1 means that the average PV module efficiency in the period considered conforms to its STC efficiency. Performance variations due to module temperature, low irradiance behavior, spectral or angular effects, degradation or meta-stability will result in MPR<1. For a certain PV module type the composition the energy yield performance depends on the climatic conditions at the location. Accordingly, the MPR values of a PV module type depend on the climate.
The choice of reference output power PSTC has a great impact on the MPR value. For comparison testing, the STC output power, which has been measured in the laboratory prior to outdoor exposure, shall be used for the MPR calculation. This assures that all test samples are treated equally and that the impact of sampling or labelling by the PV module manufacturer is minimized.
The market share of bifacial PV installations has grown substantially from 97 MW in 2016 to over 5.4 GW in 2019 [Woodmac2019]. Bifacial PV modules are characterized by the fact that they can harvest energy from both sides. The use of Bifacial PERC or n-PERT cells and a transparent rear cover ensures that the diffuse and reflected irradiance reaching the rear side is captured. If bifacial modules are vertically installed the rear side can be also exposed to direct light sun light. The resulting energy gain is calculated using the following formula:
The market share of bifacial PV installations has grown substantially from 97 MW in 2016 to over 5.4 GW in 2019 [Woodmac2019]. Bifacial PV modules are characterized by the fact that they can harvest energy from both sides. The use of Bifacial PERC or n-PERT cells and a transparent rear cover ensures that the diffuse and reflected irradiance reaching the rear side is captured. If bifacial modules are vertically installed the rear side can be also exposed to direct light sun light. The resulting energy gain is calculated using the following formula:
![]()
YBiFi and YMono are electricity yields in kWh for bifacial and mono-facial PV modules.
The contribution of the module rear side to the electricity generation depends on various factors:
Bifaciality factor of the bifacial PV module: This parameter expresses is the ratio of the maximum power values or the short circuit currents (whatever is lower) measured at STC of the front and back of the modules. The test procedure is defined in the test standard IEC 60904-1-2 [IEC2019]. Depending on the cell type the bifaciality factor can take values between 0.7 and 0.95. A high bifacial factor is beneficial from view of high energy yield. This assumes that there are not shading effects caused by junction boxes, cabling or framing.
Module efficiency of front and rear side under varying incident irradiance: Laboratory measurements have shown that the efficiency loss of bifacial PV modules at low irradiances can vary compared to mono-facial PV modules [Bonilla2018]. This low irradiance behavior is defined by the percentage change of efficiency for transition from 1000 W/m² to 200 W/m² incident irradiance.
Spectral responsivity: Spectral responsivities of the front and rear side of a bifacial PV module are not identical. Besides the cell characteristics differences can be also caused by the module construction (different encapsulation materials, glass type or transparent backsheet).
Irradiance received by the module rear side: As illustrated in Figure 2, there are complex relationships for understanding the rear irradiance (Installation conditions, shading effects). The various parameters and components are discussed in the next chapter.

Figure 2: Composition of the rear irradiance for a bifacial PV module
Besides the ground surface albedo (section 3.2) the bifacial gain is mainly determined by the irradiance conditions at the test site impacts of the mounting systems design. The incident solar irradiance is composed of the direct sunlight and the diffuse light components, which originate from scattering processes in the earth´s atmosphere and from ground reflection. Recent studies have demonstrated that the bifacial gain increases with fraction of diffuse solar irradiance [Deline 2017, Herrmann 2018]. Consequently, locations with high diffuse irradiance can benefit more from bifacial PV technology.
The ground surface albedo is defined as the ratio of the reflected diffuse radiation from the ground to the horizontal global radiation. It is dimensionless and expressed as a number between 0 and 1, where 0 represents total absorption and 1 total reflection.
The solar albedo depends on the surface properties of the ground as well as the directional distribution of the radiation. It must be noted that the reflected diffuse irradiance is also subject to spectral effects, depending on the color of the ground cover. This may cause spectral mismatch effects between the pyranometer and the rear face of the bifacial cell [Monokrou2018].
A measurement procedure with use of an albedometer is defined in the test standard ASTM E 1918-16 [ASTM2016]. Typical ranges for selected ground surfaces are shown in Figure 3.

Figure 3: Albedo factors for various ground surfaces [Helmholtz]
For energy yield testing of bifacial PV modules the choice of ground cover shall ensure that the ground albedo at the test site is homogeneous and that all modules are treated equally. With this regards, seasonal variations (changes in color) shall also be avoided. It must be noted that snow cover and wet/dry periods of the terrain may impact the albedo factor.
Field experience has shown that for fixed tilted bifacial installations the annual bifacial gain is site-dependent and significantly lower than the albedo factor.
The amount of rear side shading of solar cells determines the available rear face irradiance of bifacial PV modules. Such shading can be caused by the module design, by the cable routing or by the surrounding mounting structure. Any elements in the test set-up that cover the cells or create shading should be minimized in order to optimize the module performance and assure that all bifacial modules are treated equally.
As shown in Figure 4 small sized split junction boxes are typically used in bifacial PV modules to ensure that the covered cell area is minimized. These boxes contain the bypass diodes and the electrical terminals for the connecting cables. They are either placed at the edge or in the middle of the bifacial PV module (module designs with half cut cells).
Furthermore, it must be assured that elements from the mounting structure (mounting system design) do not cause rear shading. For example, mounting rails shall not cross the rear side of bifacial PV modules. The smaller the distance of rails to the rear side the larger the impact on the bifacial performance. Finally, the impact of poles, cable conduits or terminal boxes must be considered.
A special challenge for PV energy yield measurements is the cable management. This concerns the cable routing of the module connection cables t4 independent leads for current and voltage) and temperature sensors, which are attached to the module rear side.

Figure 4: Rear view of a bifacial PV module with shading of cells caused by split junction boxes, cabling and mounting structure.
Besides the obvious shading effects described in section 3.3, the rear face irradiance is also influenced by the reduction of the field of view, from which the module rear side receives the reflected irradiance from the ground surface. For diffuse reflection on the ground surface, the intensity of rays can be assumed to vary according to Lambert´s cosine law for an ideal diffuse reflector.

Figure 5: Division of the field of view of the PV module rear face into three sections
As shown in Figure 5 the view field of the module rear side can be divided in three regions:
a) Area facing the sun:
This area is defined by two border lines. The front line is the extension of the module axis onto the ground surface. It is fixed and derived from the height and tilt of the module. Example: For an inclination angle of 35° and an elevation of 1 m the distance of the border line to the vertical projection of the module onto the ground is 1.42 m. The second boundary line is given by the shadow of the bifacial PV module caused by direct sunlight. It is variable during the day and located beneath and/or behind the module. To achieve optimal ground reflection conditions, the area facing the sun should be as shadow-free as possible. Shading due to the mounting system design cannot be avoided, but it should be assured that modules are treated equally (i.e. no pole in front of a module).
b) Area of self-shading:
This area is given by the direct shadowing of the module onto the ground surface, which is caused by direct sunlight. Depending on the cell spacing in the module, a fraction of incoming sunlight is transmitted, but will normally play a minor role for the rear face irradiance.
c) Area facing away from the sun:
This area adjoins the self-shaded area in the direction facing away from the sun. Although the field of view in this direction is not limited, it provides a small contribution to the rear face irradiance as the distance to the module increases (Lambert´s law).
The Lambert´s law states that the reflection areas of the ground with short distance to the module rear will the deliver a higher contribution to rear face irradiance (high intensity of reflected rays). Therefore, the reflection area beneath the module must be as free of shadows as possible.
Particular challenges for the mounting system design are given for test sites that are located in tropical regions (Regions bounded by the northern and southern tropic at 23° 27′ latitude). Here the solar orbit can run in the north or in the south, depending on the season. This means that for fixed tilted installations, possible reductions of the view of field must be considered in front and behind the mounting rack.
The rear side irradiance on a bifacial PV module is not uniform but dependents on its installation height above ground and the inclination angle. Recent studies by NREL have shown that spatial non-uniformity across the module rear for a 37° tilt angle over light soil (0.21 albedo) is less than 5% for an installation height of more than 1 m and less than 2% for above 2 m [Deline2016]. An assumed maximum rear irradiance of 30% of the front irradiance (fixed tilted installation) would then result in a spread of cell short circuit currents in the range of 0.5%. This will not cause a measurable circuit mismatch loss in the bifacial PV module. Regarding energy yield testing, an installation height of 1 m is therefore sufficient to avoid an unwanted circuit mismatch.
Consideration of non-uniformity effects in the energy yield assessment of bifacial PV modules requires measuring the rear face irradiance at different heights across the module. The reference value of rear face irradiance is then the average of the readings. Figure 6 shows the measurement set-up at TÜV Rheinland test sites with three pyranometers.


Figure 6: Rear view of the test set-up for energy yield testing of bifacial PV modules. In order to capture effects of non-uniform irradiance sensors are installed at three different heights across the module. An example of non-uniform rear face irradiance simulated for 1-Sun is shown in the right figure [Monokroussos2018].
Performance simulation of bifacial PV installations has shown that the rear illumination of bifacial PV modules installed in a row is non-uniform [Deline2018]. Figure 7 shows the simulation results for a row of 32 modules and shows that the modules have much higher backside irradiance at the eft and right ends. The difference to the modules inside the row disappears when the distance to the edges is 2 to 3 meters. For energy yield testing, this means that at least 2 dummy modules must be installed to the left and right of the bifacial modules to be tested in order to prevent such edge effects and to ensure that all bifacial modules in the row are treated equally.

Figure 7: Variation of the bifacial gain for PV modules installed in a 32-module row and a short 4-module row [Deline2017]
Since 2013 TÜV Rheinland operates 4 test sites for energy yield measurement of PV modules. The sites were built in the PV-CLIMATE project and the locations have been selected to cover as wide a range of climatic conditions as possible (Figures 8&9). Since 2017 the test sites have been also used for comparative energy yield studies of bifacial PV modules.


Figure 8: Locations of TÜV Rheinland for energy yield measurement of PV modules
All test sites are equipped with identical hardware and offer the possibility to perform comparative energy yield measurements of up to 30 PV modules. The PV modules are open rack mounted in a row. Continuous maintenance measures (cleaning, annual calibration of measurement equipment, annual replacement of sensors) ensure a high data availability of more than 90%. Table 1 gives some technical details of the test instrumentation.
Table 1: Technical data of the TÜV Rheinland test equipment
![]() | ![]() |
| Cologne, Germany (temperate climate) | Tempe, Arizona (arid climate) |
![]() | ![]() |
| Thuwal, Saudi-Arabia (coastal arid climate) | Chennai, India (sub-tropical climate) |
Figure 9: View of TÜV Rheinland PV-CLIMATE test installations
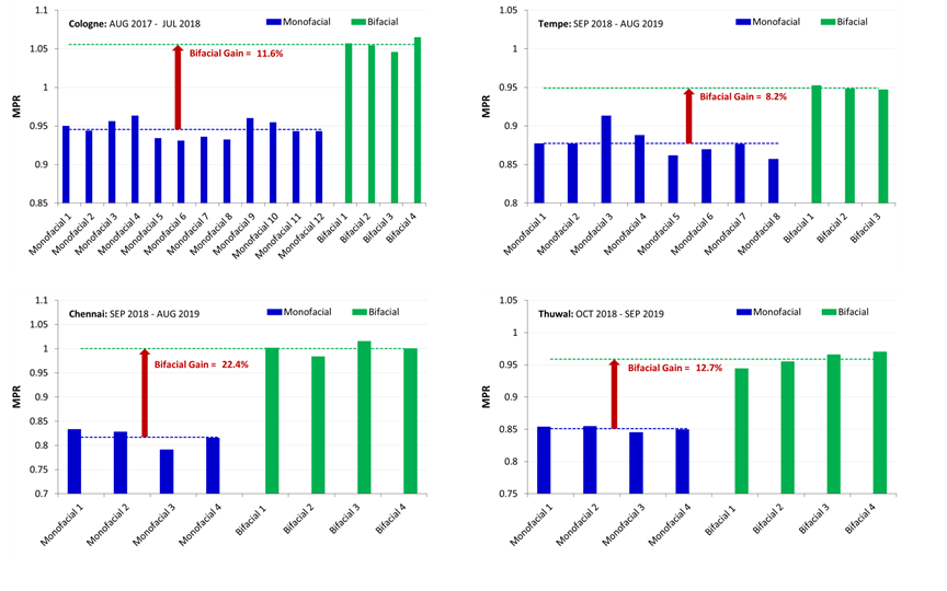
Since 2017 TÜV Rheinland has performed comparative energy yield measurements between monofacial and bifacial PV modules at the four test sites [Bonilla2018, Saal2019]. Prior to the outdoor exposure the electrical performance of test samples was measured in the test laboratory. Besides the output power at STC, also the performance at variable temperature and irradiance (IEC 61853-1) and the bifaciality factor was determined. Depending on the cell technology, bifacialities from 0.75 (PERC cells) to 0.91 (n-PERT cells) were measured. The spread within technologies was also depending on the cell quality and the design of the bifacial PV module.

Table 2: Results of energy yield comparison tests at TÜV Rheinland´s test sites
Figure 10 and Table 2 show the results of the comparison tests at the four test sites. The MPR values were related to the STC power of the module front side. Here, the bifacial gain is the group average of monofacial and bifacial PV modules. The principle findings and lessons learned from the test work can be summarized as follows:
Bifacial PV modules show a higher operational efficiencies compared to monofacial ones. However, bifacial gains can be only clearly demonstrated when its MPR is related to the measured front side performance at STC.
The bifaciality factor of different modules of the same type is subject to scattering. This is mainly due to the fact that the output power classification of bifacial PV modules is related to the electrical performance of the front side only. Therefore, particular care must be taken in the selection of test sample for energy yield measurements.
The bifaciality factor of modules plays a minor for the bifacial gain consideration. Even differences between PV module types of 0.15 result in a MPR change of less than 2%.
There is no clear correlation between the bifacial gain and the ground surface albedo. It has been shown that the bifacial gain is site specific and generally much lower compared to the albedo factor. The ratio lies in the range 40% to 60%.

Figure 10: Results of the comparative energy yield test of monofacial and bifacial PV modules at TÜV Rheinland PV-CLIMATE test sites [Bonilla 2019]
SUPSI was evaluating daily energy yield of bi-facial modules within the project ENHANCE funded by the Swiss Federal Office of Energy (SFOE). Three bi-facial modules were mounted on an open rack and the effect of rear panels as diffuse reflector was investigated as an alternative strategy to the classic white ground material. The rear surfaces were placed to simulate rooftops or wall reflectors for potential applications into the built environment. The test bench in Figure 11 was designed considering the best practice guidelines reported in IEA‐PVPS T13‐11:2018. The height of the test samples was defined at least one meter above the ground and 10 centimeters from any other object in order to promote the air circulation around the modules and minimize temperature gradients. Additional dummy modules on the left and right of the row were placed to reduce the heat propagation by convection mechanism in these module locations. A mono-facial module of the same technology was mounted as a reference beside the bifacial modules. Four pyranometers were placed around each bi-facial module to determine the irradiance non-uniformity on the back side. The temperature in the back of the modules was measured in three in different positions with PT100 sensors. The hardware solutions used for the measurement of the module power combines IV‐tracing (IV) performed in regular intervals while the module is otherwise operated at its maximum power by means of maximum power point trackers (MPPT).


Figure 11: Bi-facial modules at SUPSI mounted in (left) open rack and (right) with white diffuse reflectors on the rear of the modules.
The sensitivity to non-uniformity of irradiance in the rear of the bi-facial modules mounted in the open rack without white reflector was analyzed base on
![]()
where
and
accounts for the maximum and minimum irradiances respectively. Figure 12 displays a box plot matrix of non-uniformities measured in the rear side of the modules 16-113-A1, 16-074-A2 and 16-074-C3, corresponding to columns A1, A2 and C3 respectively. Each of the three rows in the matrix corresponds to day numbers 227, 271 and 331 of the 2018 Julian date calendar. On each box, the central red mark indicates the median, and the bottom and top edges of the box indicate the 25th and 75th percentiles, respectively. The whiskers extend to the most extreme data points not considered outliers, and the outliers are plotted individually using the '+' symbol.
The non-uniformity for a specific module depends on the day number of the year, being substantially lower than 10% throughout day 227 (15.08.2018). However, the median at lower elevation angles such as in day number 331 (27.11.2018) is closer to 10%. The rows in the plot matrix depict the sensitivity of the radiation uniformity to the position in the test bench, being the first and last hours of the days, with higher angle of incidences, those that have a greater impact on the module´s position. In all cases, the uncertainty associated with the non-uniformity of solar irradiance in the rear of the bi-facial modules is greater than the provided by our calibrated broadband detectors.

Figure 12: Box plot matrix of non uniformity of irradiance in the rear of bi-facial modules 16-113-A1, 16-074-A2 and 16-074-C3, corresponding to columns A1, A2 and C3 respectively. Each of the three rows in the matrix correspond to day numbers
227, 271 and 331 of the 2018 Julian date calendar. On each box, the central red mark indicates the median, and the bottom and top edges of the box indicate the 25th and 75th percentiles, respectively. The whiskers extend to the most extreme data points not considered outliers, and the outliers are plotted individually using the '+' symbol.
Analogous to thecase of irradiance, the temperature non uniformity is defined as:
![]()
where
and
accounts for the maximum and minimum temperatures measured in the rear of the modules respectively. Figure 13 depicts the box plot matrix with temperature´s non uniformity, where its rows and columns maintain the same logic as in the previous case.
The median of the temperature´s non uniformity is found, in general, to be below 5% and values for modules A2 and C3 are systematically below module A1.

Figure 13: Box plot matrix of non uniformity of temperature distribution in the rear of bi-facial modules. Columns A1, A2 and C3 correspond to modules 16-113-A1, 16-074-A2 and 16-074-C3 respectively. Each of the three rows in the matrix correspond to day numbers 227, 271 and 331 of the 2018 Julian date calendar. On each box, the central red mark indicates the median, and the bottom and top edges of the box indicate the 25th and 75th percentiles, respectively. The whiskers extend to the most extreme data points not considered outliers, and the outliers are plotted individually using the '+' symbol.
The power densities that the bi-facial PV module´s surfaces record over time, are experimentally determined from the irradiance G measurements according to
, where the subscript τ accounts for a specific time intervals such as
or
reporting per hour or day respectively. Figure 14 depicts in stacked columns the hourly front solar irradiation
and mean rear solar irradiation
corresponding to the bi-facial module 16-113-A1 measured on day number 227. In this case, the fraction of mean rear irradiation
range from a maximum of 43.9% in the early morning to a minimum of 10.4% at noon in the coordinated universal time, UTC. The dispersion is measured in terms of standard deviation
and in the above cases correspond to 2.3% and 0.3% respectively.

Figure 14: Available solar irradiation at module 16-113-A1 on day number 227. Left y axis: columns chart stacking the hourly front solar irradiation
and mean rear solar irradiation
. Right y axis: fraction of mean rear irradiation
and standard deviation
.
The hourly front solar irradiation
and mean rear solar irradiation
of bi-facial module 16-113-A1 with white reflectors mounted at distance
on day number 423, is compared in Figure 15 with the solar irradiation recorded when the reflectors were replaced with black panels as reference at the same distance on day number 447. The fraction of mean rear radiant energy with white reflectors is considerably higher than with the black reflectors, representing 29.6% and 5.1% respectively. As in the case with no reflectors in the rear of the modules, the mean daily non-uniformity is calculated by integrating the measured rear irradiance for the whole day, being 26.0% and 8.7% for white and black panels respectively. The front and rear daily solar irradiation of bi-facial modules 16-113-A1, 16-074-A2 and 16-074-C3 at module to reflector distances of 75.5 cm, 48.5 cm and 38.5 cm are listed in Table 3.
| Front | Rear A1 | Rear A2 | Rear C3 | |||||||
| d | ||||||||||
| # day | Reflector | |||||||||
| 4.73 | 0.07 | 1.6 | 0.8 | 1.6 | 0.8 | 1.6 | 0.8 | 342 | 75.5 | White |
| 4.29 | 0.06 | 1.7 | 0.9 | 1.7 | 0.8 | 1.8 | 0.9 | 372 | 48.5 | |
| 6.5 | 0.1 | 2.7 | 0.7 | 2.7 | 0.7 | 2.8 | 0.8 | 423 | 38.5 | |
| 7.2 | 0.1 | 0.41 | 0.03 | 0.39 | 0.03 | 0.40 | 0.02 | 447 | 38.5 | Black |
| 7.5 | 0.1 | 0.6 | 0.2 | 0.5 | 0.2 | 0.6 | 0.1 | 506 | 75.5 | |
| 6.9 | 0.1 | 0.4 | 0.2 | 0.4 | 0.2 | 0.4 | 0.2 | 508 | 48.5 | |
Table 3: Front and rear daily solar irradiation of modules 16-113-A1, 16-074-A2 and 16-074-C3.

Figure 15: Available solar irradiation at module 16-113-A1 when white (top) and black (bottom) reflector panels are mounted in the rear of bi-facial modules on day numbers 423 and 447 respectively. Left y axis: columns chart stacking the hourly front solar irradiation
and mean rear solar irradiation
. Right y axis: fraction of mean rear irradiation
and standard deviation
.
Both type of reflectors (white and black) increases the non-uniformities in irradiance with respect to the initial configuration without any reflector on the rear of the modules, reaching instant mean values up to 50%. The non-uniformity in temperature distribution remained generally below 5% without significant differences respect to the type of mounted reflector. The daily relative differences of the performance ratios MPR of the bifacial modules with white reflectors against the mono-facial reference when bi-facial modules rated at standard test conditions are in general above +15%. Bi-facial modules with black rear reflectors still outperform the mono-facial reference with relative differences below 5%.
The ground surface around the test rack shall have a homogenous albedo. The surface albedo must not be necessarily high but shall reflect typical application cases of bifacial PV modules (preferably 0.3 to 0.5). It is recommended to measure the albedo factor before putting the system into operation.
Objects in front of the test rack should not cast a shadow that exceeds the extension line of the tilted module on the ground.
Regular maintenance work shall be conducted to ensure that variations of the ground surface albedo are kept low. In particular, plant growth shall be avoided.
The mounting positions of bifacial PV modules shall be carefully evaluated relative to the ground surface and structural shading to minimize the uncertainty for various positions at the mounting rack.
Bifacial modules shall be installed in a row. Dummy modules shall be installed at the edges to avoid non-uniformity effects and to assure that modules are treated equally.
Because of the spread of bifaciality factors of modules of the same type, care must be taken that the test sample selection is representative for the module type. This requires performance measurements of several samples in the test laboratory.
Bifacial modules shall be installed in portrait orientation and in a single row. The height of all bifacial modules in the energy yield comparison test shall be the same. The minimum distance of the lower frame to the ground shall be larger than 1.3 m.
Bifacial modules generate additional DC power. Cable and MPP tracking equipment should be set up to be able to deal with maximum currents. For high surface albedo (i.e. high reflective roof covers) the additional power can reach up to 50% [Kopecek2018].
Pyranometers shall be used as irradiance sensors. Rear face irradiance shall be measured at least at three different heights across the bifacial PV module (coplanar installation). The reference value of rear irradiance is the average of measured values.
Two temperature sensors per module shall be attached. Rear shading shall be avoided.
Measurement of irradiances and PV module output power must be synchronized in time. maximum power tracking accuracy of all modules is comparable.
The time period of data monitoring shall cover a complete meteorological year in order to capture the seasonal variability at the test site.
There are situations where also short periods of energy yield measurement can be considered. For example, if different materials or module designs shall be studied regarding their energy yield performance (i.e. type of front glass type or specific glass coatings).
| [ASTM2016] | ASTM E 1918-16: Standard Test Method for Measuring Solar Reflectance of Horizontal and Low-Sloped Surfaces in the Field, 2016 |
| [Bonilla2018] | Bonilla J. et al.: Energy Yield Comparison between Bifacial and Monofacial PV Modules - Real world measurements and validation with bifacial simulations, 35th EUPVSEC, Brussels, 2018 |
| [Bonilla2019] | Bonilla J.: Energy Yield Comparison between Bifacial and Monofacial PV Modules, PV Module Forum 2019, TüV Rheinland 12/13 February 2019 |
| [Deline2016] | Deline. C. et al.: Evaluation and Field Assessment of Bifacial Photovoltaic Module Power Rating Methodologies, 43rd IEEE-PVSC, Portland, Oregon, 2016 |
| [Deline2017] | Deline C. et al.: Assessment of bifacial PV module rating methodologies - Inside and out, 44th IEEE-PVSC, 2017. |
| [Helmholtz] | Helmholtz Alfred-Wegener Institute and National Renewable Energy Laboratory |
| [Herrmann2018] | Herrmann W.: Energy Yield Performance of bifacial PV modules, TÜV Rheinland webinar, 5 July 2018 |
| [IEC2011] | IEC 61853 Parts 1 - 4: Photovoltaic (PV) module performance testing and energy rating, 2011 - 2019 |
| [IEC2019] | IEC 60904-1-2: Photovoltaic devices - Part 1-2: Measurement of current-voltage characteristics of bifacial photovoltaic (PV) devices, 2019 |
| [Kopecek2018] | Kopecek R. et al.: Bifacial PV: comparing apples with apples sometimes does not make sense, Photovoltaic International, Edition 39, March 2018 |
| [Monokroussos2018] | Monokroussos C. et al.: Rear Face Spectral Irradiance at 1-Sun and Application to Bifacial Module Power Rating, 35th EUPVSEC, Brussels, 2018 |
| [Saal2019] | Saal J. et al.: Energy Yield Comparison between Bifacial and Monofacial PV Modules - Real World Measurements in Desert climate, 36th EUPVSEC 2019. |
| [Woodmac2019] | https://www.woodmac.com/news/editorial/bifacial-2019/ |